Группа ядов «Новичок»: мифы и реальность
Что общего у «Новичков» и дихлофоса? Какие страны занимаются разработкой таких соединений — и как обходят Конвенцию о запрещении химоружия? Насколько токсичны «Новички» и какова первая помощь при отравлении? Эти и другие вопросы разбираем в данном материале.
Инцидент с Алексеем Навальным снова возродил, казалось бы, утихшие со времён Солсбери дискуссии о «Новичке», который за эти два года стал «хайли лайкли» ассоциироваться со страшным и смертельным оружием. Которое, правда, за последнее время не убило никого из тех, кого им пытались отравить (а параллельно стало мемом — вон, даже в «Форсаж. Хобс и Шоу» в русском дубляже всё крутится вокруг страшного вируса «Старичок»).
Этот материал не ставит своей целью разобраться в конспирологии вокруг дел Скрипалей и Навального, шпилей Солсбери и бутылки воды из номера в Томске. Мы поставили несколько другую задачу: рассказать, что действительно известно о «Новичках» (тут всегда уместно множественное число), а также провести небольшой ликбез по терминам «нервно-паралитический газ», «бинарное оружие», «ингибиторы ацетилхолинэстеразы» и «фосфорорганическое вещество».
Нервно-паралитическая история
Как мы уже рассказывали, первые боевые отравляющие вещества, которые применялись в Первую мировую войну, поражали в первую очередь органы дыхания. Речь о хлоре, фосгене, иприте и прочих радостях.
Первый шаг к «Новичку» был сделан в 1936 году, когда немецкий химик Герхард Шрадер в поисках эффективного средства от насекомых синтезировал «Трилон 83», более известный как табун, — этиловый эфир диметиламида цианофосфорной кислоты. Это фосфорорганическое соединение (то есть содержащее ковалентную химическую связь «фосфор-углерод») стало первым боевым фосфорорганическим веществом. К концу Второй мировой войны в нацистской Германии было накоплено почти 9000 тонн табуна, но его так и не применяли в бою.
Табун был не очень стабильным, и вскоре в Германии синтезировали более совершенные нервно-паралитические вещества: зарин, зоман и циклозарин — схожего состава, но более токсичные и более стабильные. Сейчас их относят к G-серии (от G — German).
В 1950-х годах появился новый вид отравляющих веществ нервно-паралитического действия: так называемая V-серия (от V — venomous, ядовитый). Эти вещества создавались и изучались в лабораториях всех стран, занимавшихся химическим оружием. Как минимум у СССР и США были накоплены достаточные для боевого применения запасы некоторых типов таких ядов, в основном VX.
А что же «Новичок»?
Поскольку основные источники о разработке этого класса веществ — это сбежавший в США химик Вил Мирзаянов и ещё один химик-диссидент Владимир Углев.
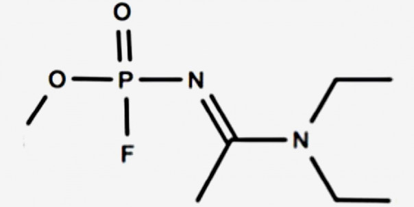
Предполагается, что этот класс соединений разрабатывался в рамках секретной программы «Фолиант». По разным данным, к «Новичкам» относятся около 60 соединений. Из тех формул, которые были опубликованы, можно предположить, что «Новички» — это производные N',N'-диэтил-ацетамидина.
К слову сказать, с точки зрения химии по крайней мере, те вещества, формулы которых были опубликованы, не являются фосфорорганическими. Потому что в них нет связи «фосфор-углерод». С таким же успехом фосфорорганическим соединением можно было бы назвать содержащую атомы фосфора ДНК.
Разные виды «Новичков» именовались литерами «А», среди известных формул — А-230 и А-232.
Некоторые из молекул, приписываемых «Новичкам», известны химикам достаточно давно: ещё в 1998 году молекула А-234 и её масс-спектр появились в нескольких химических библиотеках.
После случая с Навальным один из «разработчиков» вещества заявил, что российский оппозиционер был отравлен «усовершенствованной версией „Новичка“».
Что это может значить? Только то — если это на самом деле так, — что были получены ещё несколько производных N',N'-диэтил-ацетамидина. То, что «Новички» изучаются во всех специальных лабораториях, — это понятно. Были сообщения про работу с этим классом соединений в Чехии, по косвенным данным, работают с «Новичками» и в Германии, и в Великобритании.
К слову, Организацией по запрещению химического оружия это не возбраняется. Ведь, согласно Конвенции по запрещению химического оружия, все вещества, входящие в «Список 1» этого документа (куда в 2019 году были внесены некоторые из соединений, которые относились к «Новичкам», но без употребления слова «Новичок»), государства могут хранить в количествах менее одной тонны.
Учитывая токсичность этих ядов (предполагается, что они в пять — семь раз токсичнее VX, а летальность VX на крысах — семь микрограммов на килограмм; то есть человека массой в 70 килограммов должно убить примерно полмиллиграмма VX), этого может хватить, чтобы убить всё население Китая.
Два к одному
В истории с «Новичком» часто говорят о том, что это — бинарное отравляющее вещество. Что это такое? В широком смысле, бинарное оружие получается путём соединения двух неопасных компонентов. С точки зрения химического оружия это два нейтральных или малотоксичных компонента, которые, смешиваясь в обычных условиях (вне лаборатории), быстро и с очень хорошим выходом превращаются в отравляющее вещество.
Бонусы от такой системы очевидны — компоненты могут храниться раздельно и без повышенных требований к безопасности, сильно снижаются риски поражения «своих» при неосторожном обращении с боеприпасами и при ракетно-бомбовых ударах по складам. Для спецопераций с использованием отравляющих веществ для устранения одного или нескольких человек это тоже плюс — компоненты гораздо безопаснее провезти к месту акции и смешать их на месте.
Получить нервно-паралитическое боевое отравляющее вещество бинарного действия последних поколений (речь о веществах постзариновой эпохи, «бинарный» зарин использовался в некоторых боеприпасах) было несбыточной мечтой всех армий мира. И вот здесь нужно сказать, что в отношении «Новичка» свидетельства тех, кто имел какие-то сведения о его разработке, разнятся.
Одни говорят, что бинарный «Новичок» был разработан, другие это отрицают (например, Владимир Углев, непосредственно работавший в группе создателя «Новичка» Петра Петровича Кирпичёва, говорил «…я не знаю ни одного бинарного образца ни для VX, ни для других отравляющих веществ. По крайней мере на период до 1994 года»).
Как это работает?
«Новичок», как и все его предшественники начиная с табуна, относится к ингибиторам ацетилхолинэстеразы. Что это означает?
Любое действие, которое мы совершаем, выполняется при помощи нервов и мышц. Мышцы работают, нервы — управляют. Электрический импульс от нервной клетки, нейрона, к мышечной передаётся не напрямую, а через нервно-мышечный синапс. Чтобы электричество «перескочило» через синаптическую щель, организм использует специальное вещество-передатчик — нейромедиатор ацетилхолин (такую же функцию передатчика сигнала от клетки к клетке в мозге играют, например, неправильно называемые гормонами счастья или удовольствия серотонин и дофамин).
Чтобы ограничить действие ацетилхолина и убрать его из синаптической щели, и нужна ацетилхолинэстераза (АХЭ). Она катализирует гидролиз ацетилхолина на холин и уксусную кислоту, что приводит к прекращению действия нейромедиатора и расслаблению мышечной клетки. Но вот в организм попало отравляющее вещество из класса ингибиторов ацетилхолинэстеразы — неважно, это дихлофос, зарин или «Новичок».
Оно связывается с активным центром фермента — сначала обратимо, а потом прочно, и всё. Ацетилхолинэстераза не может разрушать ацетилхолин, действие его продолжается, и мышцы сначала избыточно активируются, а затем наступает паралич.
При тяжёлой степени отравления уже через минуту начинается резкое сужение зрачка, через несколько минут — удушье, в течение пяти — семи минут начинаются судороги, а через 10-15 минут — кома и смерть либо от удушья (паралич дыхательной мускулатуры), либо от остановки сердца. Впрочем, какая разница, от чего.
Как лечить?
Исходя из механизма токсического действия нервно-паралитических отравляющих веществ, чтобы спасти человека, нужно действовать в двух направлениях. Сначала — не дать ацетилхолину продолжать возбуждать мышцы. Поэтому первая линия защиты — холинолитики: вещества, блокирующие ацетилхолиновые рецепторы и не дающие ацетилхолину связываться с ними. Самый распространённый холинолитик, который всегда имеется в распоряжении врача первой помощи, — это атропин.
Поскольку отравление ингибиторами ацетилхолинэстеразы — это последствие не только спецопераций коварных спецслужб или химической атаки, но и неосторожного обращения со многими инсектицидами (дихлофос — тоже родственник «Новичка», пусть не прямой и дальний), клиническая картина хорошо известна, и как действовать, врачи тоже знают.
После того, как применён атропин (а это желательно делать с первых минут), наступает вторая линия обороны — нужно запустить неработающий фермент, чтобы пациент мог жить без внутривенного атропина. Поэтому дальше начинают применять препараты из группы реактиваторов ацетилхолинэстеразы. К таковым относится, например, изонитрозин.
Сумеют ли спасти человека врачи, зависит от многих факторов. В первую очередь — от того, насколько быстро начали терапию атропином и реактиваторами холинэстеразы, а также, конечно, от полученной дозы и от того, как яд попал внутрь — через лёгкие, через желудок или через кожу.
Итак, в сухом остатке: «Новичок», а точнее «Новички», — это реально существующая группа очень токсичных и быстродействующих веществ, и формулы некоторых из них предположительно известны. По этим формулам соединения «хайли лайкли» может синтезировать любая подготовленная химическая лаборатория (а анализ не сможет показать, какая именно). Причём, учитывая слепые зоны Конвенции о запрете химического оружия, — вполне на законных основаниях.
Алексей Паевский
Инцидент с Алексеем Навальным снова возродил, казалось бы, утихшие со времён Солсбери дискуссии о «Новичке», который за эти два года стал «хайли лайкли» ассоциироваться со страшным и смертельным оружием. Которое, правда, за последнее время не убило никого из тех, кого им пытались отравить (а параллельно стало мемом — вон, даже в «Форсаж. Хобс и Шоу» в русском дубляже всё крутится вокруг страшного вируса «Старичок»).
Этот материал не ставит своей целью разобраться в конспирологии вокруг дел Скрипалей и Навального, шпилей Солсбери и бутылки воды из номера в Томске. Мы поставили несколько другую задачу: рассказать, что действительно известно о «Новичках» (тут всегда уместно множественное число), а также провести небольшой ликбез по терминам «нервно-паралитический газ», «бинарное оружие», «ингибиторы ацетилхолинэстеразы» и «фосфорорганическое вещество».
Нервно-паралитическая история
Как мы уже рассказывали, первые боевые отравляющие вещества, которые применялись в Первую мировую войну, поражали в первую очередь органы дыхания. Речь о хлоре, фосгене, иприте и прочих радостях.
Первый шаг к «Новичку» был сделан в 1936 году, когда немецкий химик Герхард Шрадер в поисках эффективного средства от насекомых синтезировал «Трилон 83», более известный как табун, — этиловый эфир диметиламида цианофосфорной кислоты. Это фосфорорганическое соединение (то есть содержащее ковалентную химическую связь «фосфор-углерод») стало первым боевым фосфорорганическим веществом. К концу Второй мировой войны в нацистской Германии было накоплено почти 9000 тонн табуна, но его так и не применяли в бою.
Табун был не очень стабильным, и вскоре в Германии синтезировали более совершенные нервно-паралитические вещества: зарин, зоман и циклозарин — схожего состава, но более токсичные и более стабильные. Сейчас их относят к G-серии (от G — German).
В 1950-х годах появился новый вид отравляющих веществ нервно-паралитического действия: так называемая V-серия (от V — venomous, ядовитый). Эти вещества создавались и изучались в лабораториях всех стран, занимавшихся химическим оружием. Как минимум у СССР и США были накоплены достаточные для боевого применения запасы некоторых типов таких ядов, в основном VX.
А что же «Новичок»?
Несмотря на то, что образованные люди очень не любят «Википедию», автор этих строк осмелился процитировать, пожалуй, лучшее определение этих веществ из русской вики: «„Новички“ — это вещества, о которых что-то знали Мирзаянов и/или Углев».
Поскольку основные источники о разработке этого класса веществ — это сбежавший в США химик Вил Мирзаянов и ещё один химик-диссидент Владимир Углев.
Предполагается, что этот класс соединений разрабатывался в рамках секретной программы «Фолиант». По разным данным, к «Новичкам» относятся около 60 соединений. Из тех формул, которые были опубликованы, можно предположить, что «Новички» — это производные N',N'-диэтил-ацетамидина.
К слову сказать, с точки зрения химии по крайней мере, те вещества, формулы которых были опубликованы, не являются фосфорорганическими. Потому что в них нет связи «фосфор-углерод». С таким же успехом фосфорорганическим соединением можно было бы назвать содержащую атомы фосфора ДНК.
Разные виды «Новичков» именовались литерами «А», среди известных формул — А-230 и А-232.
Некоторые из молекул, приписываемых «Новичкам», известны химикам достаточно давно: ещё в 1998 году молекула А-234 и её масс-спектр появились в нескольких химических библиотеках.
После случая с Навальным один из «разработчиков» вещества заявил, что российский оппозиционер был отравлен «усовершенствованной версией „Новичка“».
Что это может значить? Только то — если это на самом деле так, — что были получены ещё несколько производных N',N'-диэтил-ацетамидина. То, что «Новички» изучаются во всех специальных лабораториях, — это понятно. Были сообщения про работу с этим классом соединений в Чехии, по косвенным данным, работают с «Новичками» и в Германии, и в Великобритании.
К слову, Организацией по запрещению химического оружия это не возбраняется. Ведь, согласно Конвенции по запрещению химического оружия, все вещества, входящие в «Список 1» этого документа (куда в 2019 году были внесены некоторые из соединений, которые относились к «Новичкам», но без употребления слова «Новичок»), государства могут хранить в количествах менее одной тонны.
Учитывая токсичность этих ядов (предполагается, что они в пять — семь раз токсичнее VX, а летальность VX на крысах — семь микрограммов на килограмм; то есть человека массой в 70 килограммов должно убить примерно полмиллиграмма VX), этого может хватить, чтобы убить всё население Китая.
Два к одному
В истории с «Новичком» часто говорят о том, что это — бинарное отравляющее вещество. Что это такое? В широком смысле, бинарное оружие получается путём соединения двух неопасных компонентов. С точки зрения химического оружия это два нейтральных или малотоксичных компонента, которые, смешиваясь в обычных условиях (вне лаборатории), быстро и с очень хорошим выходом превращаются в отравляющее вещество.
Бонусы от такой системы очевидны — компоненты могут храниться раздельно и без повышенных требований к безопасности, сильно снижаются риски поражения «своих» при неосторожном обращении с боеприпасами и при ракетно-бомбовых ударах по складам. Для спецопераций с использованием отравляющих веществ для устранения одного или нескольких человек это тоже плюс — компоненты гораздо безопаснее провезти к месту акции и смешать их на месте.
Получить нервно-паралитическое боевое отравляющее вещество бинарного действия последних поколений (речь о веществах постзариновой эпохи, «бинарный» зарин использовался в некоторых боеприпасах) было несбыточной мечтой всех армий мира. И вот здесь нужно сказать, что в отношении «Новичка» свидетельства тех, кто имел какие-то сведения о его разработке, разнятся.
Одни говорят, что бинарный «Новичок» был разработан, другие это отрицают (например, Владимир Углев, непосредственно работавший в группе создателя «Новичка» Петра Петровича Кирпичёва, говорил «…я не знаю ни одного бинарного образца ни для VX, ни для других отравляющих веществ. По крайней мере на период до 1994 года»).
Как это работает?
«Новичок», как и все его предшественники начиная с табуна, относится к ингибиторам ацетилхолинэстеразы. Что это означает?
Любое действие, которое мы совершаем, выполняется при помощи нервов и мышц. Мышцы работают, нервы — управляют. Электрический импульс от нервной клетки, нейрона, к мышечной передаётся не напрямую, а через нервно-мышечный синапс. Чтобы электричество «перескочило» через синаптическую щель, организм использует специальное вещество-передатчик — нейромедиатор ацетилхолин (такую же функцию передатчика сигнала от клетки к клетке в мозге играют, например, неправильно называемые гормонами счастья или удовольствия серотонин и дофамин).
Чтобы ограничить действие ацетилхолина и убрать его из синаптической щели, и нужна ацетилхолинэстераза (АХЭ). Она катализирует гидролиз ацетилхолина на холин и уксусную кислоту, что приводит к прекращению действия нейромедиатора и расслаблению мышечной клетки. Но вот в организм попало отравляющее вещество из класса ингибиторов ацетилхолинэстеразы — неважно, это дихлофос, зарин или «Новичок».
Оно связывается с активным центром фермента — сначала обратимо, а потом прочно, и всё. Ацетилхолинэстераза не может разрушать ацетилхолин, действие его продолжается, и мышцы сначала избыточно активируются, а затем наступает паралич.
При тяжёлой степени отравления уже через минуту начинается резкое сужение зрачка, через несколько минут — удушье, в течение пяти — семи минут начинаются судороги, а через 10-15 минут — кома и смерть либо от удушья (паралич дыхательной мускулатуры), либо от остановки сердца. Впрочем, какая разница, от чего.
Как лечить?
Исходя из механизма токсического действия нервно-паралитических отравляющих веществ, чтобы спасти человека, нужно действовать в двух направлениях. Сначала — не дать ацетилхолину продолжать возбуждать мышцы. Поэтому первая линия защиты — холинолитики: вещества, блокирующие ацетилхолиновые рецепторы и не дающие ацетилхолину связываться с ними. Самый распространённый холинолитик, который всегда имеется в распоряжении врача первой помощи, — это атропин.
Поскольку отравление ингибиторами ацетилхолинэстеразы — это последствие не только спецопераций коварных спецслужб или химической атаки, но и неосторожного обращения со многими инсектицидами (дихлофос — тоже родственник «Новичка», пусть не прямой и дальний), клиническая картина хорошо известна, и как действовать, врачи тоже знают.
После того, как применён атропин (а это желательно делать с первых минут), наступает вторая линия обороны — нужно запустить неработающий фермент, чтобы пациент мог жить без внутривенного атропина. Поэтому дальше начинают применять препараты из группы реактиваторов ацетилхолинэстеразы. К таковым относится, например, изонитрозин.
Сумеют ли спасти человека врачи, зависит от многих факторов. В первую очередь — от того, насколько быстро начали терапию атропином и реактиваторами холинэстеразы, а также, конечно, от полученной дозы и от того, как яд попал внутрь — через лёгкие, через желудок или через кожу.
Итак, в сухом остатке: «Новичок», а точнее «Новички», — это реально существующая группа очень токсичных и быстродействующих веществ, и формулы некоторых из них предположительно известны. По этим формулам соединения «хайли лайкли» может синтезировать любая подготовленная химическая лаборатория (а анализ не сможет показать, какая именно). Причём, учитывая слепые зоны Конвенции о запрете химического оружия, — вполне на законных основаниях.
Алексей Паевский
Новостной сайт E-News.su | E-News.pro. Используя материалы, размещайте обратную ссылку.
Оказать финансовую помощь сайту E-News.su | E-News.pro
Если заметили ошибку, выделите фрагмент текста и нажмите Ctrl+Enter (не выделяйте 1 знак)















